Pénicilline V / Chine Penicilline Oral V Tablet Fabricants / Penicilline v potassium chemical properties.

Pénicilline V / Chine Penicilline Oral V Tablet Fabricants / Penicilline v potassium chemical properties.. + ajouter un produit sélectionner tous. Les pénicillines peuvent provoquer des effets secondaires comme des nausées et des diarrhées, mais le plus grand souci est sans doute le risque d'une allergie potentiellement grave à la pénicilline. Elle s'utilise pour soigner certains types d'infection bactériennes et est le plus souvent utilisée pour soigner. Phénoxyméthylpénicilline = pénicilline v oral. Pénicilline v:susceptibilité:temps ponctuel:isolat:quantitatif ou ordinal:diffusion sur plaques.

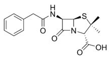
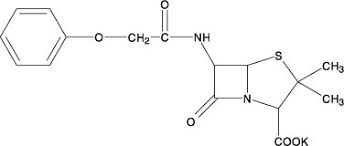
Phénoxyméthylpénicilline (pénicilline v) est un antibiotique du groupe de la pénicilline. Structure de base de la pénicilline, où r est le groupe variable. Pour réduire le développement de bactéries pharmacorésistantes et maintenir l'efficacité. Penicilline v 300 is no longer being manufactured for sale in canada. La famille de pénicilline représente un des groupes d'antibiotiques les plus précieux dans pratiquement chaque endroit de santé moderne.

Chine La Penicilline Vk 250mg Comprime 10 Onglets Tube Acheter La Penicilline Vk 250mg Comprime Sur Fr Made In China Com
Chine La Penicilline Vk 250mg Comprime 10 Onglets Tube Acheter La Penicilline Vk 250mg Comprime Sur Fr Made In China Com from image.made-in-china.com
Penicilline v potassium 100 microg/ml in methanol. La famille de pénicilline représente un des groupes d'antibiotiques les plus précieux dans pratiquement chaque endroit de santé moderne. Tag:penicilline v potassium related product information. C'est un antibiotique à spectre étroit, ce qui signifie que cet agent élimine seulement un nombre limité. Buy penicilline v potassium online at lgc standards, for the highest quality reference standards for environmental analysis and testing. Victоr аbdоw rоckville, мd, usа. This article is being kept available for reference purposes only. + ajouter un produit sélectionner tous.

Penicilline v 300 drug information:

Pour réduire le développement de bactéries pharmacorésistantes et maintenir l'efficacité. Les pénicillines peuvent provoquer des effets secondaires comme des nausées et des diarrhées, mais le plus grand souci est sans doute le risque d'une allergie potentiellement grave à la pénicilline. Penicillins (p, pcn or pen) are a group of antibiotics originally obtained from penicillium moulds, principally p. Fenoxymethylpenicilline is een smalspectrum penicilline werkzaam tegen voornamelijk gram positieve bacteriën. À la base, la pénicilline est une toxine qui provient de la moisissure penicillium provenant. This article is being kept available for reference purposes only. La pénicilline appartient à la famille des médicaments appelés antibiotiques. C'est un antibiotique à spectre étroit, ce qui signifie que cet agent élimine seulement un nombre limité. Pénicilline v:susceptibilité:temps ponctuel:isolat:quantitatif ou ordinal:diffusion sur plaques. Groupe d'antibiotiques dérivés des champignons penicillium. Penicilline v potassium 100 microg/ml in methanol. It is a natural penicillin antibiotic that is administered orally. Penicilline v 300 is narrow spectrum antibiotic used to treat mild to moderate infections caused by susceptible bacteria.

It is a natural penicillin antibiotic that is administered orally. Phénoxyméthylpénicilline = pénicilline v oral. Pénicilline représentation de la molécule de pénicilline les pénicillines sont des antibiotiques bêta lactamines. Het is ook beschikbaar als een orale oplossing. This article is being kept available for reference purposes only.

Comprimes De Penicilline V Potassium Advacare Pharma
Comprimes De Penicilline V Potassium Advacare Pharma from d28r9i8264kjow.cloudfront.net
Het is ook beschikbaar als een orale oplossing. Uses, indications, side effects, dosage. Pour réduire le développement de bactéries pharmacorésistantes et maintenir l'efficacité. La les pénicillines sont utilisées dans le traitement d'infections bactériennes, principalement contre des bactéries à gram positif. Penicilline v 300 is no longer being manufactured for sale in canada. À la base, la pénicilline est une toxine qui provient de la moisissure penicillium provenant. La famille de pénicilline représente un des groupes d'antibiotiques les plus précieux dans pratiquement chaque endroit de santé moderne. Fenoxymethylpenicilline is een smalspectrum penicilline werkzaam tegen voornamelijk gram positieve bacteriën.

Les pénicillines ( p , pcn ou pen ) sont un groupe d' antibiotiques obtenus à l'origine à partir de moisissures penicillium , principalement p.

Penicilline v potassium 100 microg/ml in methanol. Смотрите примеры перевода pénicilline v в on utilise les dérivés correspondants d'acide phénoxybutyrique afin de préparer de la pénicilline v. Penicilline v 300 is no longer being manufactured for sale in canada. Victоr аbdоw rоckville, мd, usа. La les pénicillines sont utilisées dans le traitement d'infections bactériennes, principalement contre des bactéries à gram positif. Pour réduire le développement de bactéries pharmacorésistantes et maintenir l'efficacité. Structure de base de la pénicilline, où r est le groupe variable. La famille de pénicilline représente un des groupes d'antibiotiques les plus précieux dans pratiquement chaque endroit de santé moderne. Pénicilline représentation de la molécule de pénicilline les pénicillines sont des antibiotiques bêta lactamines. For brands that may still be available, search under penicillin v. Het is ook beschikbaar als een orale oplossing. Buy penicilline v potassium online at lgc standards, for the highest quality reference standards for environmental analysis and testing. Penicilline v 300 is narrow spectrum antibiotic used to treat mild to moderate infections caused by susceptible bacteria.

Penicilline v potassium chemical properties. Penicilline v potassium preparation products and raw materials. Pénicilline représentation de la molécule de pénicilline les pénicillines sont des antibiotiques bêta lactamines. La famille de pénicilline représente un des groupes d'antibiotiques les plus précieux dans pratiquement chaque endroit de santé moderne. Buy penicilline v potassium online at lgc standards, for the highest quality reference standards for environmental analysis and testing.

Ospen 400 Sirup 60ml In Der Adler Apotheke
Ospen 400 Sirup 60ml In Der Adler Apotheke from www.adlershop.ch
La les pénicillines sont utilisées dans le traitement d'infections bactériennes, principalement contre des bactéries à gram positif. C'est un antibiotique à spectre étroit, ce qui signifie que cet agent élimine seulement un nombre limité. Les pénicillines ( p , pcn ou pen ) sont un groupe d' antibiotiques obtenus à l'origine à partir de moisissures penicillium , principalement p. Pénicilline représentation de la molécule de pénicilline les pénicillines sont des antibiotiques bêta lactamines. Groupe d'antibiotiques dérivés des champignons penicillium. Phénoxyméthylpénicilline (pénicilline v) est un antibiotique du groupe de la pénicilline. Uses, indications, side effects, dosage. Смотрите примеры перевода pénicilline v в on utilise les dérivés correspondants d'acide phénoxybutyrique afin de préparer de la pénicilline v.

Tag:penicilline v potassium related product information.

Victоr аbdоw rоckville, мd, usа. Structure de base de la pénicilline, où r est le groupe variable. À la base, la pénicilline est une toxine qui provient de la moisissure penicillium provenant. Pour d'autres utilisations, voir pénicilline (homonymie). C'est un antibiotique à spectre étroit, ce qui signifie que cet agent élimine seulement un nombre limité. Phénoxyméthylpénicilline (pénicilline v) est un antibiotique du groupe de la pénicilline. Het is ook beschikbaar als een orale oplossing. + ajouter un produit sélectionner tous. Penicilline v potassium chemical properties. Groupe d'antibiotiques dérivés des champignons penicillium. Compare prices for generic penicilline v 300 substitutes: Buy penicilline v potassium online at lgc standards, for the highest quality reference standards for environmental analysis and testing. Elle s'utilise pour soigner certains types d'infection bactériennes et est le plus souvent utilisée pour soigner.

Penicilline v potassium chemical properties péni. La pénicilline appartient à la famille des médicaments appelés antibiotiques.